Képfeldolgozás I

Ebben a részben tulajdonképpen folytatjuk a képfeldolgozással kapcsolatos ismereteink bővítéset és megismerkedünk néhány matematikai fogalommal, éspedig

  1. a Fourier transzformációval,

  2. a konvolucióval, és

  3. a Laplace - Gauss operátorral.

Néhány újabb ismeret a képfeldolgozásból

Lehet, hogy az alcím kissé furcsának tűnik az olvasónak, ezért megpróbálom néhány szóban megmagyarázni. Képfeldolgozási kérdésekkel nem most találkozunk először. Viszonylag részletesen foglalkoztunk a bináris képekkel végrehajtható legfontosabb képfeldolgozási műveletekkel: a raszter-vektor, vektor-raszter átalakítással. A normálsztereogramm és ortofotó készítéssel kapcsolatban pedig azt is megnéztük, hogy hogyan lehet a tónusos képelemeket eltolva a képeket átalakítani (tulajdonképpen geometriailag torzítani), sőt e művelettel kapcsolatban a szürkeségi értékek interpolációja bizonyos értelemben, a geometriai torzításon túlmenően, a szürkeségi értékeket is bizonyos kismértékű változtatásnak, torzításnak vetette alá. A jelen pontban tárgyalandó témáink olyan módszerek lesznek, melyek valamilyen rendszer szerint megváltoztatják a képek szürkeségi értékeit.

Tulajdonképpen ilyen módszerekkel már az analóg fotográfia is dolgozott, csak sokkal szűkebb tartományra korlátozódó vezérlési lehetőségekkel. Minden amatőr fényképész előtt ismeretes, hogy az expozíciós idő illetve a fotóanyag, valamint a hívási folyamat paramétereinek változtatásával ugyanolyan kamara és megvilágítási viszonyok esetén is különböző keménységű fényképeket lehet készíteni.

A digitális képfeldolgozás alkalmazása esetén azonban a kontrasztosságot szisztematikusan és finoman lehet változtatni. A kontraszt fokozása azt jelenti, hogy növeljük a pixelek szürkeségi értékeinek differenciáit, míg a kontraszt csökkentése csökkenti az eredeti különbségeket.

E módszereknek nagyon sok alkalmazási területe lehet, csak példaképpen említünk néhányat. Ha a kiértékelendő képpár a fényképezés pillanataiban fenálló megvilágítási különbségek következtében kölönböző keménységű, úgy mind interaktív, mind automatikus kiértékelés esetén kedvezőbb, ha először kiegyenlítjük a kontrasztjukat. Gyakran előfordul, hogy különböző véletlen hibák következtében kis kiterjedésű, az objektumtér leképzendő formáival nem magyarázható hirtelen szürkeségi érték változások lépnek fel a képen, melyek kiküszöbölése indokolt. A képkorrelációs eljárások eredményességét segíti a vonalas objektumok képeinek kiemelése az úgynevezett élkiemelés. Ez utóbbi technika alkalmazandó akkor is ha a mesterséges objektumok kiértékelését félautomatikusan vagy automatikusan akarjuk végrehajtani.

Néhány alapfogalom a matematikából

Tekintsük a pixelpontok szürkeségi értékeit megadó kifejezést diszkrét függvénynek a 2 dimmenziós térben és jelüljük sz(x,y)-al. A matematikából ismeretes (lsd. például [8] vagy [9], illetve a konkrét képfeldolgozási alkalmazásokról lsd még [10]), hogy minden periodikus függvény Fourier - sorba fejthető, ami

tulajdonképpen nem más, mint a 2l illetve 2k periódusú függvény helyettesítése

és

frekvenciájú

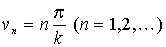
harmonikus rezgések összegével. Ha a térben (vagy időben) kifejezett független változókkal rendelkező függvény nem periódikus, úgy a sorbafejtés analógiájára a Fourier transzformáltak segítségével alakítható át olyan függvénnyé, mely az eredeti függvény által leírt jelenséget a folytonos (frekvencia) spektrum segítségével fejezi ki a kétdimmenziós hullámszám (rezgészám) vektor függvényében (a hullámszám dimmenziója: 1/hosszegység, a rezgésszám dimmenziója: 1/időegység).

Ha a képfeldolgozási műveleteket közvetlenül az sz(x,y) függvény felhasználásával végezzük, úgy azt mondjuk, hogy a művelet a tér-tartományban megy végbe, ha azonban a szürkeségi függvény Fourier transzformáltjával dolgozunk, a feladat megoldását átvittük a frekvencia - tartományba. Mivel azonban végeredményként mindíg a szürkeségi függvény megváltozott értékeire van szükségünk, a frekvencia tartományból vissza kell térnünk a tér - tartományba. Ezt a feladatot az inverz Fourier transzformáció segítségével oldhatjuk meg.

A következő táblázatban megadjuk a Furier transzformáltak és inverz transzformációk képleteit folyamatos és diszkrét esetre:

Fourier transzformált

inverz transzformáció

folyamatos

diszkrét

A diszkrét esetben feltételeztük, hogy a kép n sort és ugyancsak n oszlopot tartalmaz, valamint, hogy mind a pixel koordináták (x,y), mind a hullámszámok (u,v) 0-tól (n-1)-ig egyesével változó tehát, egész értékeket vehetnek fel. Sz(u,v)-el a szürkeségi függvény Fourier transzformáltját jelöltük.

A képfeldolgozásban a Fourier transzformáltakat gyakran a konvolúció műveletének egyszerűbb végrehajtására használják fel.

A g(x,y) és f(x,y) folyamatos függvényeknek az (a,b; c,d) intervallum feletti konvolúcióját az alábbi kifejezés definiálja kétdimmenziós esetben:

,

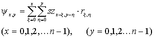
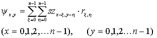
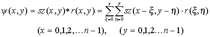
ahol a * a konvolúció műveleti jele. Diszkrét, kétdimmenziós esetben a sz(x,y) szürkeségi érték függvény valamint valamely másik r(x,y) képfüggvény konvolúciója az alábbi alakot veszi fel:

.

Mivel esetünkben tulajdonképpen diszkrét sorozatok között kell a műveletet végrehajtani, célszerűbb a független változókat az elemek indexében szerepeltetni. Jelöljük az egyik képfüggvényt leíró sorozat elemeket az alábbi indexes alakkal , a másik képfüggvény jelölése legyen hasonlóan: , a konvolució eredményét pedig jelölje a sorozat. E jelölésekkel a diszkrét konvolúció kifejezése a következő alakra hozható

.

Ha azonban feltételezzük, hogy a képfüggvény a kép határain túl is folytatódik, úgy az összegzési határokat, a folyamatos függvények analógiájára, a bennünket érdeklő egész tartományra ki kell terjesztenünk, azaz ebben az esetben

.

A gyakorlatban a konvolúciót a képmátrix szűrésére is szokták használni. Ebben az esetben az r szűrő mátrix egy viszonylag kis (maximum 5x5 -ös mátrix). Ezzel a kis mátrix-szal azonban el kell végezni a konvolúciót minden képpixelre (tulajdonképpen arról van szó, hogy n x n darab tartalmában azonos, a szürkeségi érték mátrixhoz viszonyított indexeiben különböző képfüggvényünk van, s ezekkel és a szürkeségi értékek függvényével kell elvégezni a konvolúciót mégpedig olymódon, hogy minden i,j sorszámú eredeti szürkeségi érték függvény pixelhez hozzárendelünk egy megfelelő elhelyezkedésű szűrő mátrixot). Legyen a szűrő mátrix dimmenziója 2.N+1, akkor a szűrt szürkeségi érték pixel a


kifejezésből számítható. A Furier transzformáltak segítségével a konvolúció végrehajtása egyszerűbb, ugyanis bizonyítható, hogy

,


azaz a konvolúció műveletét a frekvencia tartományban a megfelelő Furier transzformáltak összeszorzásával végezhetjük.

A Fourier transzformáltak konvolúcióval kapcsolatos alkalmazása mellett szólnunk kell röviden a transzformáltak fizikai tartalmáról. A transzformáltakat leíró kifejezés (lásd a táblázatban) tanulsága szerint a transzformáltak komplex számok, valós és képzetes részből állnak. A valós és képzetes részek négyzetösszegének gyökét Furier vagy frekvencia spektrumnak nevezik. Ez a mennyiség arányos a kérdéses transzformált argumentumában szereplő frekvencia amplitúdójával. A spektrum elemeinek manipulálásával lehetséges a képet alkotó frekvencia összetevők megváltoztatása, s az inverz transzformáció alkalmazásával a megváltoztatott spektrumra, optimális esetben, a kép minőségének kivánt irányú megváltoztatása. Azokra a gyakorlati módszerekre, melyekkel e javítások elérhetők a következő részben térünk ki.

E rövid matematikai összefoglalóban szólnunk kell még néhány szót a Laplace-Gauss rövidítve LoG operátorról.

A Laplace - féle operátor Descartes-féle koordináta rendszerben a következőképpen jelölhető és értelmezhető:

,


ahol a nabla operátor, mely valamely térbeli skalár függvénnyel megszorozva a (három) változós skalárfüggvény pontbeli
növekedés-vektorának (grádiensének) három tengelyre eső komponenseit szolgáltatja. Mivel a Laplace-operátor a nabla vektor önmagával történt skaláris szorzataként van meghatározva a vektor operátorból skaláris operátor lett, ugyanis az egység-vektorok (i, j, k) önmagukkal megszorozva az egységet, egymással páronként megszorozva pedig a zérust szolgáltatják. Ha tehát egy háromváltozós skalár függvényre alkalmazzuk a Laplace-operátort, úgy az eredmény


egy skalár, mely azt mutatja, hogy a függvény változása a vizsgált pont környezetében növekszik-e vagy csökken. Ahol a függvény növekedésből csökkenésbe vagy csökkenésből növekedésbe megy át, ott a fenti kifejezés előjelet vált. Ezeket a helyeket a müszaki gyakorlat 'nullátmeneteknek' hívja. A Laplace-operátor kétdimmenziós alakját széleskörűen alkalmazzák mind a képfeldolgozásban, mind pedig a Digitális Magasságmodellel végrehajtott felület elemzésben.A szürkeségi értékek változási tendenciájának hirtelen megváltozását (növekedésből csökkenésre, csökkenésből növekedésre váltást) azonban nem csak a földi objektumok különböző fényvisszaverési tulajdonságai, hanem véletlen jellegű hatások, összefoglaló névvel a zajok is kiválthatják. Ha feltételezzük, hogy a zajok a kordinátatenglyektől függetlenek és normális eloszlásúak (lsd. pld. [3], [5], [8] vagy [9]), úgy sűrűség függvényük a következő alakban írható fel:

.

A sűrűség függvényben szereplő szórás esetünkben azt szabályozza, hogy egymástól milyen távol lehetnek a földi objektumok által is indokolt hirtelen szürkeségi érték változások: kis esetén közel lehetnek egymáshoz, nagy esetén csak a távoli változásokat tekintjük indokoltnak, s a szűrés csak a kép durva szerkezetét hagyja meg.

3.48 ábra - Gauss féle szűrő
A sűrűség függvény diszkretizálás után felhasználható a konvolúciós szűrésre is, a szűrés sugarát határozza meg. A 3.48 ábrán felvázoltuk a szűrő és a kép kölcsönös helyzetét egy pixel környezetében.
Amint az ábráról látható az eloszlás maximális értéke 0.1501/2 az r=0 kezdőpontban van, s ettől a ponttól távolodva körszimmetrikusan a függvény exponenciális szabály szerint csökken. Az eloszlási függvény asszimptotikusan közelíti a zérust. Ha a sűrűség függvény kifejezését 0 és végtelen között integráljuk, úgy a görbe alatti köbtartalom az egységgel egyenlő. Ha diszkretizáljuk az ábrán látható felületet, úgy =1 esetén az alábbi 9x9-es mátrixot kapjuk (tekintettel a körszimetriára csak a bal felső 5x5-ös mátrixot nyomtattuk ki):

0.000018

0.000556

0.002007

0.032800

0.053378

0.000593

0.019037

0.223040

1.114600

1.768110

0.006977

0.244110

2.741930

15.23560

21.53889

0.032800

1.114600

15.23560

58.08599

96.54403

0.053378

1.768110

21.53889

96.54403

159.1381

.10-3.-2.
3.3 táblázat - a Gauss féle szűrő amplitúdó értékei

Amint már említettük, a Gauss-féle szűrővel eltávolíthatjuk a véletlen jellegű (esetleg számunkra érdektelen, egymáshoz túl közel eső) hirtelen szürkeségi érték változásokat, majd a Laplace operátorral kiválaszthatjuk a szűrt képből azokat a pixeleket, melyek környezetében a szűrés ellenére a szürkeségi értékek változásának előjelváltása továbbra is fenáll.

Nagyon sok számítási munkát megspórolhatunk azonban, ha a két műveletet egyszerre hajtjuk végre olymódon, hogy előbb képezzük a Gauss szűrő Laplace operátorát, majd ezzel a módosított szűrővel végezzük el a konvolúciót. A szakirodalom ezt módosított szűrőt nevezi LoG operátornak a Laplacian of Gaussian angol kifejezés rövidítéseként, ami magyarul úgy fordítható, hogy a Gauss-i (szűrő) Laplace-i operátora.

Deriváljuk a Gauss szűrő kifejezését x majd y szerint, az első deriváltak az alábbiak lesznek:

.

Az x és y szerinti második deriváltak pedig a következő alakot veszik fel:
.

A Laplace operátort a két második derivált összegeként kapjuk azaz
.

3.49 ábra - a LoG operátor
A 3.4 táblázatban kiszámoltuk a diszkretizált LoG operátor 9x9-es mátrixának bal felső negyedét a =1 esetre, a 3.49-es ábrán pedig felvázoltuk az operátor ábráját.

Az eredményül kapott kifejezés fordított sombreró alakú, az r=0 helyen minimummal rendelkezik, az sugarú kör mentén a felület metszi az XY síkot, azaz e körön az operátor értéke zérus.

0.000543

0.012872

0.041258

0.484194

0.747467

0.013641

0.305781

2.484730

8.831589

12.37636

0.126053

2.675484

16.78689

39.36850

43.07855

0.491162

8.625458

39.07723

0.952375

-96.5323

0.747467

12.37636

43.07855

-96.5323

-318.309

.10-3.-2.
3.4 táblázat - a LoG operátor amplitúdó értékei


Megjegyzéseit E-mail-en várja a szerző: Dr Sárközy Ferenc